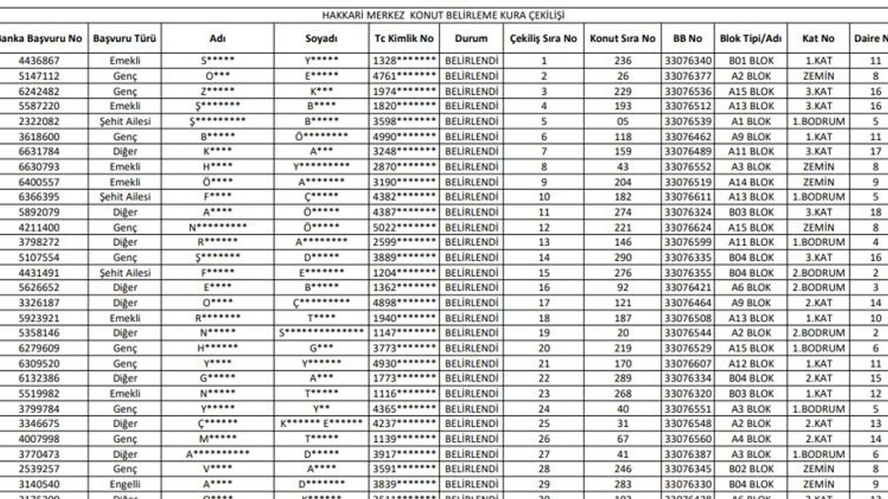
Toplu Konut İdaresi Başkanlığı (TOKİ), 250 bin Sosyal Konut Kampanyası kapsamında Hakkari Merkez’de inşa edilen 300 Konut Projesi için yapılan kura çekiminin, Gazi Mahallesi 339 Adet Konut Projesi içerisinde gerçekleştirildiğini açıkladı. TOKİ tarafından yapılan bilgilendirmeye göre hak sahipliği onaylanan vatandaşlar arasından 292 konut, şeffaf bir şekilde noter denetiminde sahiplerini buldu.
Kura çekimi, TOKİ’nin resmi YouTube kanalı üzerinden canlı olarak yayınlanarak tüm vatandaşların izlemesine olanak sağladı. Salonda bulunan hak sahipleri ise kurayı büyük bir merak ve heyecanla takip etti. Kurada adı çıkan vatandaşlar mutluluklarını yakınlarıyla paylaştı.
Yetkililer, kura sonrasında yaptığı açıklamada, projenin en kısa sürede tamamlanarak hak sahiplerine teslim edilmesinin hedeflendiğini belirtti.
TOKİ’nin, Türkiye genelinde yürüttüğü sosyal konut projeleriyle dar gelirli vatandaşları ev sahibi yapma çalışmalarının aralıksız sürdüğü kaydedildi.
“İlk Evim, İlk İş Yerim” projesi kapsamında kurada isimleri belli olan Hakkari’de hak sahibi vatandaşların isim listesi;













